Forward and Backward Reachability Analysis of Closed-loop Recurrent Neural Networks via Hybrid Zonotopes

Jan 21, 2026·
Yuhao Zhang
Yuhao Zhang
,
Xiangru Xu
· 0 min read
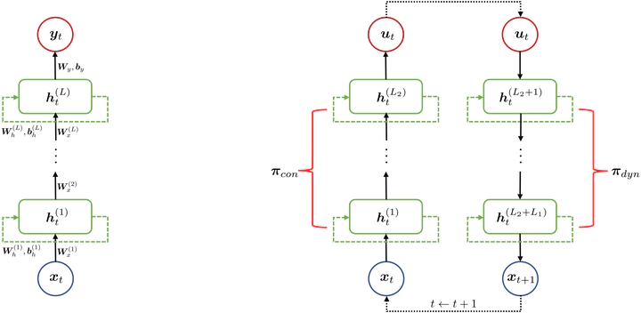
RNN (left) and RNN in a closed-loop system (right)
Abstract
Recurrent neural networks (RNNs) are widely employed to model complex dynamical systems due to their hidden-state structure, which inherently captures temporal dependencies. This work presents a hybrid zonotope–based approach for computing exact forward and backward reachable sets of closed-loop RNN systems with ReLU activation functions. The method formulates state-pair sets to compute reachable sets as hybrid zonotopes without requiring unrolling. To improve scalability, a tunable relaxation scheme is proposed that ranks unstable ReLU units across all layers using a triangle-area score and selectively applies convex relaxations within a fixed binary limit in the hybrid zonotopes. This scheme enables an explicit trade-off between computational complexity and approximation accuracy, with exact reachability as a special case. In addition, a sufficient condition is derived to certify the safety of closed-loop RNN systems. Numerical examples demonstrate the effectiveness of the proposed approach.
Type
Publication
American Control Conference (ACC) [accepted]